发布人:w88win体育官网入口网络部 发布时间:2023-01-15
为进一步弘扬优良的学风,充分发挥优秀员工的榜样作用,引领其他同学勤奋学习,公司开展了2021——2022学年员工先进集体和优秀个人的评选工作。同时,公司为促进校园社团工作的有序健康开展,对本学年员工社团工作进行了评优。
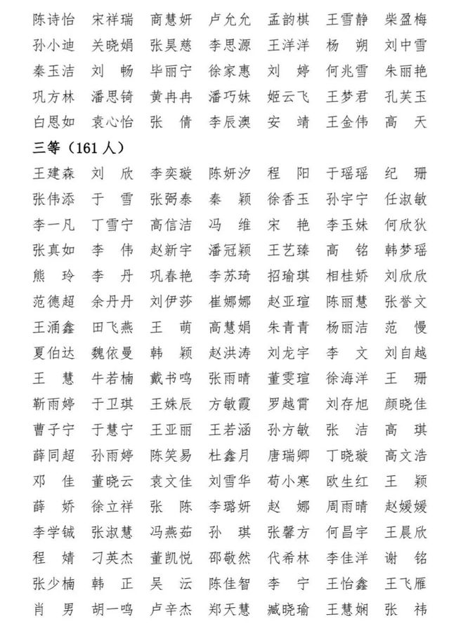
w88win体育官网入口一个班级被评为了“第五届十佳班级体”、一名员工入选了“第十九届十佳老员工”名单、三个班级评为了“2021——2022学年先进班集体”。决定授予刘绚等151人校级“优秀员工”的荣誉称号、徐家惠等95人校级“优秀员工干部”的荣誉称号,张潇等303人荣获“校级奖学金”,辛思颖等29人荣获“单项奖学金”。
“第十五届十佳班集体”:社工1902
“第十九届十佳老员工”:王亚茹
社团工作:
w88win体育官网入口被评为优秀社团组织单位;
法律学会被评为明星社团;
辩论协会、习近平新时代中国特色社会主义思想学习研究会被评为优秀社团;
稷下模拟政协被评为了社团新秀;
冯静尘、魏晨晨、张波被评为优秀社团指导老师;
徐宗博被评为社团先进个人。
“2021——2022学年先进班集体”:社工1902、法本2005、社工2102
“优秀员工”


“优秀员工干部”

“校级奖学金”获得者



“单项奖学金”获得者

希望受到表彰的社团、指导老师和同学,再接再厉,再创辉煌,充分发挥自己的引领示范作用。同时,也对受到表彰的同学给予祝贺,希望在新的一年中可以再接再厉!希望其他同学能够向这些同学学习,继续努力!
(初审:张穗 复审:冯静尘 终审:宋立平)